VOGONS


'98

Topic actions

Reply 20 of 38, by appiah4

User metadata
Rank l33t++
Rank
l33t++

Rage 128 and G200 scale amazingly well. As does the Voodoo 2 but that is no surprise.

Retronautics: A digital gallery of my retro computers, hardware and projects.

Reply 21 of 38, by cxm717

User metadata
Rank Member
Rank
Member

Using the benchmark results I already have, I did a comparison of CPUs from 1998. For the socket 7 CPUs I used the same Asus P5A-B motherboard. The Cyrix MII is running at 300/100, so the same as an MII 433GP. Im not really sure if this CPU was released in 1998 though. I couldn't find much info on release dates of Cyrix CPUs in 1998. I used the voodoo2 sli results for all of them as it was the fastest setup for all these CPUs.

all.png
Filename
all.png
File size
45.27 KiB
Views
991 views
File license
Fair use/fair dealing exception

Reply 22 of 38, by appiah4

User metadata
Rank l33t++
Rank
l33t++

Just shows how far ahead of the time Half Life and Unreal were with regards to CPU usage. Wow. I wasn't expecting the gap to widen that much going from the Quake engine games to Unreal.

The strangest thing is Half Life though; it's a Quake 2 engine game but somehow suffers badly for K6-2? No 3DNow in Half Life?

Retronautics: A digital gallery of my retro computers, hardware and projects.

Reply 23 of 38, by cxm717

User metadata
Rank Member
Rank
Member
appiah4 wrote:

Just shows how far ahead of the time Half Life and Unreal were with regards to CPU usage. Wow. I wasn't expecting the gap to widen that much going from the Quake engine games to Unreal.

The strangest thing is Half Life though; it's a Quake 2 engine game but somehow suffers badly for K6-2? No 3DNow in Half Life?

I'm pretty sure the only game that I tested here that uses 3DNow is Quake2 with the patch made by AMD. With half life, besides changes to the engine they could have used different compiler options or even used the intel compiler. I know from building Quake2 that can make a big difference. I did compile it with an older intel compiler at one point, I could test it to see how it runs. If only the source was available for the Quake2 3DNow patch.

I'd also like to point out that I did not update half-life. I just installed it from the CD. I might benchmark each version at some point as I have all the patches. Since the timedemo doesn't work with later versions I would have to fraps a sequence from the game, so it would take me longer to do.

Reply 24 of 38, by cxm717

User metadata
Rank Member
Rank
Member

I finally got the K6-3+ and I tested all the cards in the Asus board with the K6-3+ at 550MHz. The rest of the setup was the same, although I did need to update the BIOS to support the K6-3+. The BIOS update actually made most of the cards much more stable except for the Rage 128. I didn't get a single lock-up or crash on the other cards with this BIOS. With the Rage 128 it would lock-up every few minutes, it was so bad I thought maybe I broke the card. So I ended up testing it in another system (440BX P2) and it worked fine. I didn't notice much change in performance with the new BIOS, just the savage got a bit slower in some D3D games.

Anyways, here are the results:

k63ali.png
Filename
k63ali.png
File size
63.23 KiB
Views
956 views
File license
Fair use/fair dealing exception
k63alicpu.png
Filename
k63alicpu.png
File size
33.46 KiB
Views
956 views
File license
Fair use/fair dealing exception

Reply 25 of 38, by appiah4

User metadata
Rank l33t++
Rank
l33t++

Rage128 scaling is about as good as I thought if not better and Banshee continues to impress! Banshee in particular has replaced Voodoo 2 as my goto P2 video card.

Lucky you on that K6-3+ grap I still xant get a K6-2+ for cheap.

Oh one question for you: when doing all these card swaps do you image and restore Win98 at every change or can you just uninstall the card from system and the deivers from Add/Remove Programs and be clean enough? Always wondered..

Retronautics: A digital gallery of my retro computers, hardware and projects.

Reply 26 of 38, by cxm717

User metadata
Rank Member
Rank
Member
appiah4 wrote:

Rage128 scaling is about as good as I thought if not better and Banshee continues to impress! Banshee in particular has replaced Voodoo 2 as my goto P2 video card.

Lucky you on that K6-3+ grap I still xant get a K6-2+ for cheap.

Oh one question for you: when doing all these card swaps do you image and restore Win98 at every change or can you just uninstall the card from system and the deivers from Add/Remove Programs and be clean enough? Always wondered..

It took me a while to find the K6-3+. I first got a k6-2+ but it turned out to be dead, well mostly dead. It would run doom and other dos games but it wouldn't load into windows and it would crash running quake.

For most of the cards I would just reinstall windows. Not a full format. Just deltree windows and program files and run the win98 setup from the hard drive. I have most of the games in image files and I just use an older version of alcohol 120% that works under 98. The G200 has a pretty good uninstaller so I didn't do a reinstall after testing with that card. After testing with the TNT, i740, savage3d and banshee I would do a reinstall. The ATi cards had their own install, I tested the Rage pro first then the Rage 128. Both Rage cards have their own uninstaller but I have had problems in the past after using it and then installing an nvidia card. Oh and I tested the voodoo2/sli along side the rage pro with its stock win98 driver.

So the test process was G200 > i740 > reinstall > Savage3d > reinstall > Banshee > reinstall > TNT > reinstall > voodoo2 with Rage pro > voodoo2 sli > Rage pro with updated drivers > Rage 128

Reply 27 of 38, by cxm717

User metadata
Rank Member
Rank
Member

Ok, I also retested the cards in the luckystar board (via chipset) with the K6-3+. I used the same setup again. Just with an updated BIOS. With this board the Savage3D was unstable. I got a few lock-ups running the benchmarks. The G200 has a few quirks on this board and the BIOS didn't fix that. With the G200 this board would lock-up loading windows on a warm boot and sometimes windows would hang shutting down. All the other cards worked fine on this board now, even the Rage 128.

Here are the results:

k63via.png
Filename
k63via.png
File size
64.29 KiB
Views
948 views
File license
Fair use/fair dealing exception
k63viacpu.png
Filename
k63viacpu.png
File size
33.41 KiB
Views
948 views
File license
Fair use/fair dealing exception

Reply 28 of 38, by appiah4

User metadata
Rank l33t++
Rank
l33t++

Yeah, Rage 128 is a great card with MMX instructions and fast CPUs but a dog on AMD 3DNow CPUs.

Also, that Banshee, WOW again. I have newfound respect for the Voodoo Banshee thanks to this thread. Voodoo 2 has next to nothing on the Banshee in real testing.

Retronautics: A digital gallery of my retro computers, hardware and projects.

Reply 29 of 38, by cxm717

User metadata
Rank Member
Rank
Member

Just a bit of an update. I ended up retesting all the cards on the P2 450/440BX (new chart in OP) because I noticed that I got different results when comparing my TNT to a TNT2M64. It turns out that gl_sgis_multitexture was not enabled in 16Bit colour mode even though it was checked in rivatuner. Either on some reboots or running some games it gets disabled, so I had to enable it after each boot/game test.

I ended up taking the time to retest each card with its own fresh install of windows and games. I used the full version of Turok2 so I could enable high details and I tested with 2 more games, Heretic2 and Shogo. For testing Shogo I used fraps to test a run through of an area in the game. I did this 3 times and used an average but there is still more variance here than the other tests. I tested like this because the revshogo timedemo was unreliable. Testing on the TNT card the demo went out of sync 3 different ways.

I also tested the G200 with SGRAM. Here is a comparison with the SDRAM version of the card. The SGRAM version is the one used in the OP.

g200sdvsg.png
Filename
g200sdvsg.png
File size
85.75 KiB
Views
872 views
File license
Fair use/fair dealing exception
Last edited by cxm717 on 2018-12-23, 19:24. Edited 1 time in total.

Reply 30 of 38, by meljor

User metadata
Rank Oldbie
Rank
Oldbie
appiah4 wrote:

Yeah, Rage 128 is a great card with MMX instructions and fast CPUs but a dog on AMD 3DNow CPUs.

Also, that Banshee, WOW again. I have newfound respect for the Voodoo Banshee thanks to this thread. Voodoo 2 has next to nothing on the Banshee in real testing.

I think it's actually surprising that the Banshee is behind a single v2 in almost every benchmark? The Banshee is a higher clocked version of the Voodoo2, but with it's own 2D and without the second texturing unit. It should only be slower in multi texturing games, and on others it should be faster. So I don't really get what made you so excited?

But I still agree that the Banshee needs to get more love: It's a good retro card. But it can still be found cheap so that's a good thing 😎

asus tx97-e, 233mmx, voodoo1, s3 virge ,sb16
asus p5a, k6-3+ @ 550mhz, voodoo2 12mb sli, gf2 gts, awe32
asus p3b-f, p3-700, voodoo3 3500TV agp, awe64
asus tusl2-c, p3-S 1,4ghz, voodoo5 5500, live!
asus a7n8x DL, barton cpu, 6800ultra, Voodoo3 pci, audigy1

Reply 32 of 38, by cxm717

User metadata
Rank Member
Rank
Member
Baoran wrote:

Is it true that voodoo 2 sli is cpu restricted in half life even in P3 like the P3 tests would indicate?

Yes. Performance improves in half life on the TNT and Voodoo2 sli even going from a 1GHz P3 to 1.4GHz. Even the G200 gains performance in half life going from a 750MHz P3 to 1GHz.

Reply 33 of 38, by cxm717

User metadata
Rank Member
Rank
Member

Just another update. I found some older drivers for the Rage128GL that are much faster. I updated the OP with the new results and I updated my post with the P3 750MHz results.

Also, here are the CPU benchmarks for half life:

halflifecpu.png
Filename
halflifecpu.png
File size
17.57 KiB
Views
814 views
File license
Fair use/fair dealing exception

Reply 36 of 38, by appiah4

User metadata
Rank l33t++
Rank
l33t++

I remain impressed by the Rage 128 and look forward to seeing the 128 PRO perform fantastically in your eventual '99 test 😉

Retronautics: A digital gallery of my retro computers, hardware and projects.

Reply 37 of 38, by cxm717

User metadata
Rank Member
Rank
Member

Okay. Another update. I retested the cards with the AMD K6-2 on the Ali and VIA boards. I also added results for another game, Sin. I tested the Matrox G200 with the OpenGL to D3D wrapper that was used in older drivers (it works with the newest also) and found it was much faster than the ICD with slower CPUs. With a P2@450MHz the wrapper was only faster with lower resolutions and colour depths (640x480x16 and lower) with a P3@750MHz the wrapper was always slower. With the slower K6-2 CPUs it was as much as 35% faster.

Reply 38 of 38, by cxm717

User metadata
Rank Member
Rank
Member

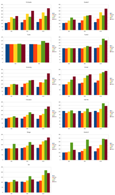
Ok, so I decided to test these same games on some of the 1999 cards and compare them to the 1998 cards of the same brand. I tested them all in the same system; the P2 450 with 128MB of PC100 CL2, the aopen mobo and SBlive sound card.

I thought it would be interesting to see what kind of gain you would get from just upgrading a 1998 system with a new video card from 1999.

For the 1998 cards I used the Nvidia TNT, Matrox G200, Rage 128GL, 3Dfx banshee and S3 savage 3D. For the 1999 cards I used an nvidia TNT2 pro (143/166), Rage 128 pro (125/143), S3 Savage4 extreme (160/166), Matrox G400max (150/200) and 3Dfx voodoo3 3500TV. I tried to use the same driver version for each, that didn't work out for the Savage comparison just because I couldn't find many different drivers for those cards. Also, my Rage128 pro is not made by ATi so I could not get all the same drivers to install on that card. Many would install with an INF edit or just installing the driver manually but that did not work with many earlier drivers. I'm also thinking about testing the TNT2 ultra, I didn't have one when I started testing. I might also add a comparison to the Geforce 256.

Anyways, here are the charts:

all.png
Filename
all.png
File size
66.83 KiB
Views
741 views
File license
Fair use/fair dealing exception

And for 32Bit colour:

all32.png
Filename
all32.png
File size
27.48 KiB
Views
741 views
File license
Fair use/fair dealing exception